Кінетична та потенціальна енергія
Завдання (ДЗ - поточне)
(якісні задачі - розв'язки)
(якісні задачі - розв'язки)

Вказівки до відповідей (за такі розв'язки бали не ставилися):
1.Так.
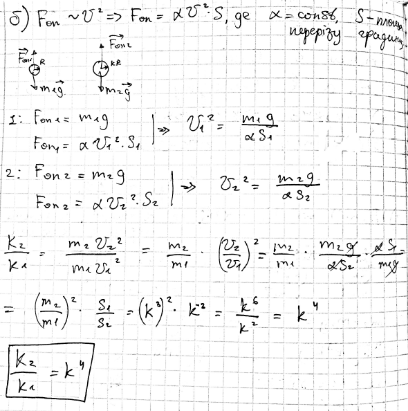
2. а), б) збільшиться в к2 раз; в) зменшиться в к раз.
3. Не залежить.
4. A = 2mgh.
5. Першій більшу.
6. Так.
7. ККД зростає із збільшенням кута нахилу.
8. Кулю підняти легше.
9. При зіткненні з легкою.
10. Збільшиться у 9 раз.
11. Максимальна на початку руху, мінімальна – у верхній точці.
12. Можна.
13. Енергія менш жорсткої пружини більша в р разів.
14. а) пружне; б) не пружне.
15. Градинка більшої маси має більшу в к5 раз енергію у випадку а) і в к4 раз – у випадку б).
Що я очікую від Вас:
(Завдання здано Іриною Гонцовською - випускниці 2023 року):
Зауваження:
У задачі №6 розглянуто лише випадок відсутності сил тертя та опору.
(Завдання здано Михайлом Еліосовим (випуск 2023 року) - на даний час Михайло в ЗСУ , на фронті, захищає нашу країну від російських фашистів):






